Literals

Literals represent constants that possess a specific value as well as a corresponding data type. Literals can be entered into tables as values or used within queries as constants, for example, in comparisons or function parameters. If the literal displays a different data type than the assigned or comparison type, the data type that is smaller is implicitly converted.

You can group literals as follows:

Examples
Literal Description
123

Integer

See Numeric literals
-123.456

Decimal number

1.23456E-32

Double value

TRUE

Boolean value

See Boolean literals
DATE '2007-03-31'

Date

See Date and time literals
TIMESTAMP '2007-03-31 12:59:30.123'

Timestamp

INTERVAL '13-03' YEAR TO MONTH

Interval (YEAR TO MONTH )

See Interval literals
INTERVAL '1 12:00:30.123' DAY TO SECOND

Interval (DAY TO SECOND)

'ABC'

String value

See String literals
NULL

NULL (no value)

See NULL literals

Numeric literals

Numeric literals represent a number. If the number is represented exactly in a DECIMAL type, Exasol chooses the smallest literal type. Otherwise the type of the literal is DOUBLE.

Numeric literals can be distinguished as follows:

integer_literal::=

integer literal

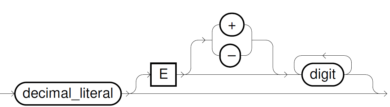
decimal_literal::=

double_literal::=

Boolean literals

Boolean literals have only 3 valid values: TRUE, FALSE, and UNKNOWN (similar to NULL). Instead of a literal, you can also use strings (for example, 'T' or 'True' and 'F' or 'False') or integers (0 and 1). For more details, see Boolean data type.

boolean_literal::=

Date and time literals

Date and time literals represent a particular point in time. They have a fixed format, which means that they are not as flexible as the TO_DATE or TO_TIMESTAMP conversion functions. In most cases, the conversion functions should be given priority over literals. For more information, see Built-in functions and Date/time format models.

date_literal::=

timestamp_literal::=

The following formats are specified for string:

Literal Format Description
DATE 'YYYY-MM-DD'

For example: DATE '2024-01-23'

TIMESTAMP 'YYYY-MM-DD HH24:MI:SS.FF9'

This literal has the data type TIMESTAMP(p), where the fractional seconds precision p corresponds to the number of fractional digits given in the literal.

Examples:

TIMESTAMP '2024-01-01 00:00:00.123' has the data type TIMESTAMP(3) (millisecond precision).

Interval literals

Interval literals describe an interval of time and are very useful for datetime arithmetic.

interval_year_to_month_literal::=

  • The integers int define the number of years or months in the interval. For YEAR TO MONTH the first integer is the number of years, the second one the number of months which must be in the range from 0 to 11.

  • precision specifies the maximal number of digits (1-9). If this parameter is not set, 2 digits are allowed.
Examples
Interval literals Meaning
INTERVAL '5' MONTH 5 months
INTERVAL '130' MONTH(3) 130 months
INTERVAL '27' YEAR 27 years
INTERVAL '2-1' YEAR TO MONTH 2 years and 1 month
INTERVAL '100-1' YEAR(3) TO MONTH 100 years and 1 month

interval_day_to_second_literal::=

 

 

  • int defines the number of days (see Precision for maximum number of digits)
  • time_expr specifies a time value in format HH[:MI[:SS[.n]]] or MI[:SS[.n]] or SS[.n]. Valid values are 0-23 for hours (HH), 0-59 for minutes (MI) and 0-59.999 for seconds (SS). The parameter precision defines the maximal number of digits for the leading field which allows you also to use larger numbers for hours, minutes and seconds as shown in the example table below. The parameter fractional_precision defines at which position the fractional part of the seconds are rounded (0-9, default is 3). In time_expr, you have to specify the whole used range, for example, HH:MI in case of HOUR TO MINUTE.
  • The precision of seconds is limited to 3 decimal places, although you can specify more digits in the literal.
  • The optional parameter precision(1-9) specifies the maximum number of digits for the leading field. By default, two digits are allowed.
  • The interval borders must be descending. For example, SECOND TO MINUTE is not valid.
Example:
Interval literals Meaning
INTERVAL '5' DAY 5 days
INTERVAL '100' HOUR(3) 100 hours
INTERVAL '6' MINUTE 6 minutes
INTERVAL '1.99999' SECOND(2,2) 2.00 seconds (rounded after the second place)
INTERVAL '10:20' HOUR TO MINUTE 10 hours and 20 minutes
INTERVAL '2 23:10:59' DAY TO SECOND 2 days, 23 hours, 10 minutes and 59 seconds
INTERVAL '23:10:59.123' HOUR(2) TO SECOND(3) 23 hours, 10 minutes and 59.123 seconds

String literals

String literals are used to represent text. String literals use the smallest character sets available. The ASCII character set will be used if only ASCII characters are included, otherwise the UTF-8 character set will be used. For more information, see String data types.

To include a single quote character in a string, use two successive single quotes. For example, the string literal 'AB''C' represents the value AB'C.

string_literal::=

An empty string literal ('') is evaluated as NULL .

NULL literals

The NULL literal is used in SQL to indicate that a value does not exist.

null_literal::=